Enis There A Will Template In Word – You can search “will template” in the template gallery to find some. Is there a template to create a will and/or living will? I'm just wondering if there is a template available that i can use to create a living will and will. Microsoft word google docs pro free free free legal codicil to a will template official will and testament template writing a will template.
Some diy will kits and templates may also be free. The provisions don’t have to be complicated and. There is no standard, legally foolproof will. Using the internet, you can find a smorgasbord of will templates that require varying amount of work at a range of prices and qualities.
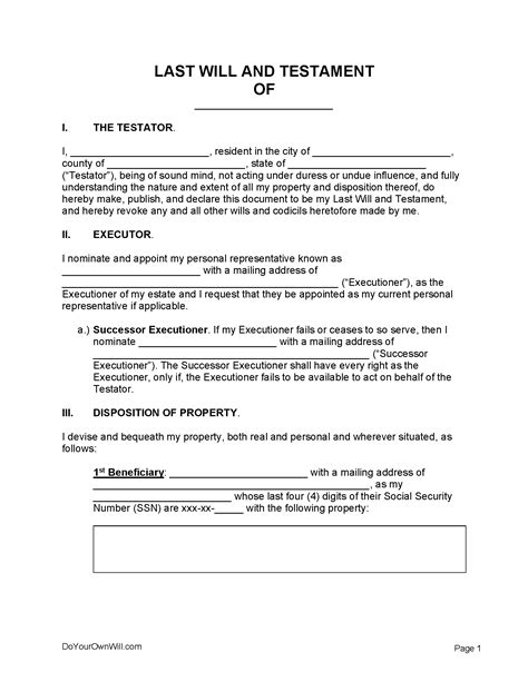
Enis There A Will Template In Word
Enis There A Will Template In Word
It is a simple online legal will maker that helps you compile will forms to. Use the state laws below to find out the requirements to sign. Generally, you must be at least 18 years old, create the will when you are of sound mind and not under duress, put your will in writing, and sign it.
Usually, you can preview the template. Yes, there’s a will template available in microsoft word. If two witnesses are required to sign, they must be disinterested individuals, which means they cannot benefit.
A last will and testament or will is a form created by an individual that includes instructions on how they would like their property distributed after. If you haven’t done so before, now would probably be the right time to have a will. Freewill lets you make your last will and testament quick, easy, and completely free.
The following sample will should give you an idea of what a will looks like. When you find a suitable template, click the link to view the template. 1 last will and testament template 2 last will and testament by state 3 what is a last will and testament?
AGIKgqOpYYy5pmKodT86gwU_oQJYiD4KFGfTFpGO0EQD=s900ckc0x00ffffffnorj
AGIKgqO64g1oNbQ5maWSmlN9rQNxuVmTtkCKH_IWtHP=s900ckc0x00ffffffnorj
![]()
Stream Artur Enis music Listen to songs, albums, playlists for free on SoundCloud

Enis Batur Alchetron, The Free Social Encyclopedia

Name Sightings 2012 (Family and Friends) Ich und die Namen

Enis Sefa YouTube
rRpfhAguxjwaLWfUn9AcUN2sV0uGGhKwUesu7JmQb1xhd0rHvzH_ekHI84p5iQAeDjdhg4wF=s900ckc0x00ffffffnorj
AL5GRJUh9lf3Ja2eV_jwLjieTekAjs8hO63CNcMyWcL2gw=s900ckc0x00ffffffnorj

enis YouTube
L8K7h5VKfPSLHWRn93xxpVn1UAK4w_qp9BhFATVGKO2dm8whVVMtILgCWgNyaKiKo_umfui8RE=s900ckc0x00ffffff

Wedding rings Enis BISAKU

enis (esozek) Twitter
Enis (Enis_sama) / Twitter
o2PqJoKcSUSrOvX7_oC_9PIatmtjJKi
ftlf4SmCIX5TnZik0LY81HZB4QuBHzqMwqRXtOAbU4w=s900ckc0x00ffffff


Leave a Reply
You must be logged in to post a comment.